Pages
Home
Books and Materials For Sale
BOOK SALE ONGOING! PLEASE CHECK IT OUT!!!
Saturday, March 1, 2014
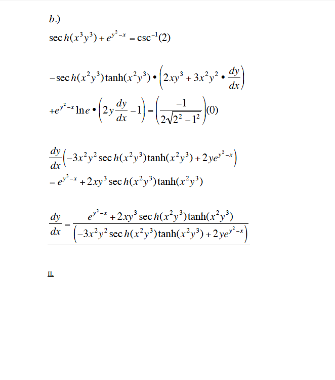
UPD Math 53 (Now Math 21) Fifth Long Examination Samplex (with Solutions) (Second Sem, 2011)
Solutions included1 Click on 'read more' to see.
No comments:
Post a Comment
Newer Post
Older Post
Home
Subscribe to:
Post Comments (Atom)
No comments:
Post a Comment